Salta al contenido principal
Logo
EVA
  • Página Principal
  • Calendario
  • Más
Español - Internacional ‎(es)‎
English ‎(en)‎ Español - Internacional ‎(es)‎ Português - Brasil ‎(pt_br)‎
En este momento está usando el acceso para invitados
Acceder
EVA
Página Principal Calendario
Expandir todo Colapsar todo
  1. Física 2 (Bio-Geociencias) 2025
  2. Unidad 6 - Cursos anteriores
  3. Pizarrones grupo 4 (Clase 19/11/21 Zoom)

Pizarrones grupo 4 (Clase 19/11/21 Zoom)

Requisitos de finalización


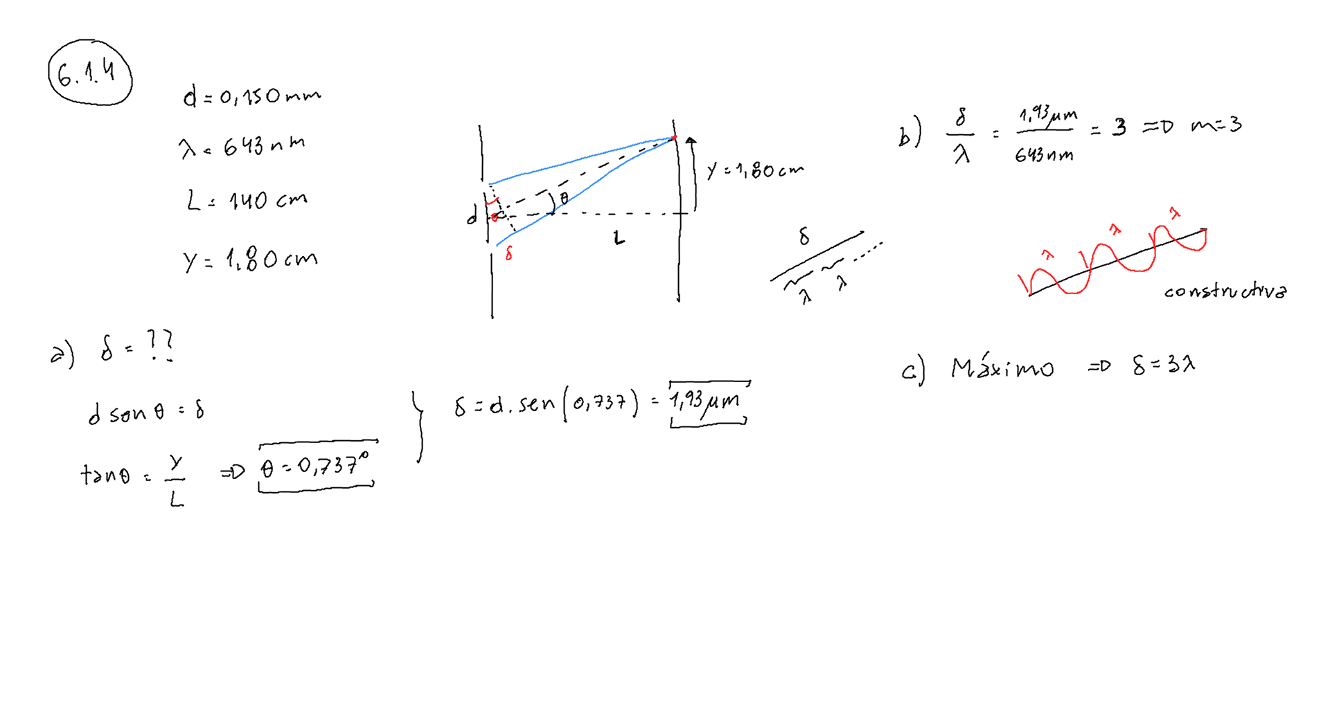
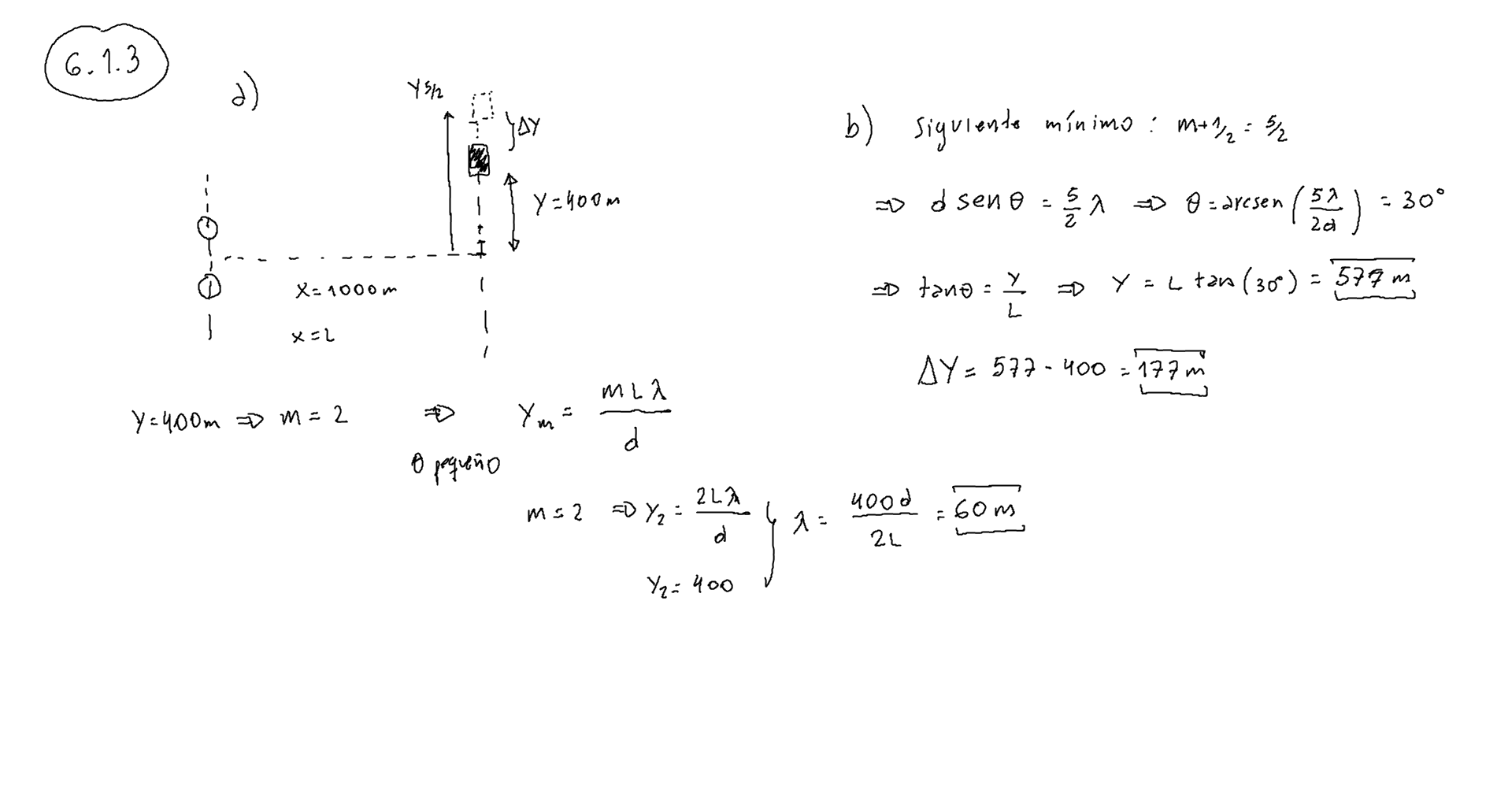
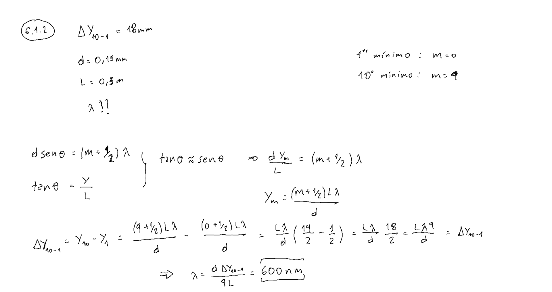
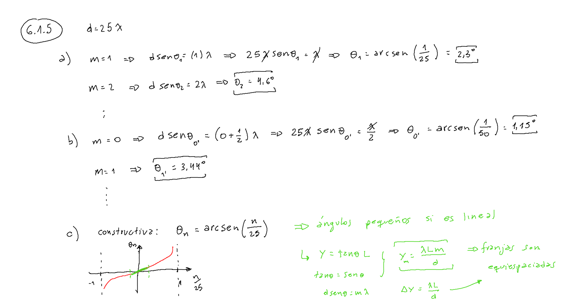
    • Whiteboard[1]-01.png
    • Whiteboard[1]-02.png
    • Whiteboard[1]-03.png
    • Whiteboard[1]-04.png
    • Whiteboard[1]-05.png
En este momento está usando el acceso para invitados (Acceder)
Resumen de retención de datos

Universidad de la República
Desarrollado por Moodle