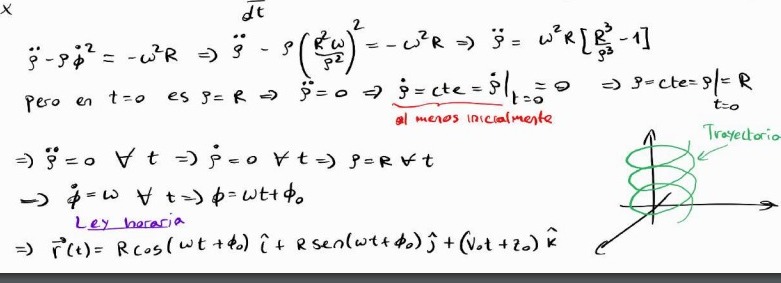
Hola, buenas noches, no logro entender porque si inicialmente la derivada segunda es nula implica que la primera sea nula y por ende la funcion cte.
Profe me podría explicar esto porfavor
Desde ya muchas gracias, Facundo.
Hola, buenas noches, no logro entender porque si inicialmente la derivada segunda es nula implica que la primera sea nula y por ende la funcion cte.
Profe me podría explicar esto porfavor
Desde ya muchas gracias, Facundo.
es:
, ya que
. Adicionalmente,
.
se requiere que
pero esto requiere que
y para que esto suceda se requiere
.