
Gracias desde ya.
Saludos,
Santiago García.

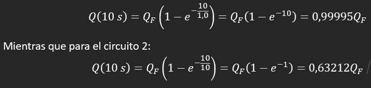
Entonces en un Circuito RC en el que se está Descargando siempre inicialmente no tendrás una Corriente dado que el Capacitor se encuentra Cargado y se comporta como un Interruptor Abierto, y que en un t = 0s cerras el Interruptor y sacas la Batería/Pila (la fuente Fem), tendrás una Qinicial que tiene el Capacitor y una Corriente Negativa en Valor Absoluto que se irá acercando al 0A (sacando esa deducción aplicando la Segunda Ley de Kirchoff) y que pasaría lo mismo en la Carga pero de un Valor por encima de cero hasta acercarse al mismo, es correcto?
Gracias.